有机微量
有机微量项目,系集团与化学工业(全国)饲料添加剂工程技术中心精诚合作兴建的一家丝瓜APP下载免费安卓下载研发和生产有机微量元素饲料添加剂的高新技术企业,公司拥有一流的生产工艺和先进的生产设备以及近三十年有机微量元素研发生产经验。从原料选购、反应条件控制、结晶、离心、干燥,到成品的检验分析,实现全程严格监控,过程追溯系统,确保产品质量更加稳定。
公司自主研发生产一系列高效优质的有机微量元素饲料添加剂产品和有机微量元素复合包产品,专注于为中国饲料企业全面、科学、精准使用有机微量元素提供全方位的解决方案。
产品系列
矿能系列:生物活性肽螯合微量元素,优质植物源蛋白,生物降解,营养更均衡,效价更高。
矿贝系列:摩尔比为2:1,高纯螯合物,完全去除硫酸根。
维德系列:摩尔比为2:1,高纯螯合物,完全去除硫酸根。
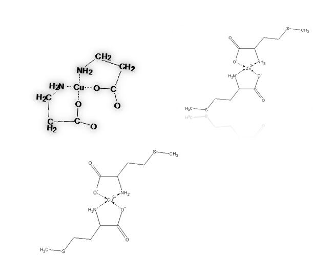
矿宝系列:甘氨酸亚铁络合物、甘氨酸锌络合物、甘氨酸铜螯合物(摩尔比为2:1,高纯螯合物,完全去除硫酸根)。

一样的名字,不一样的品质!

以下图片供参考选用,丝瓜视频网站产品结构式、显微镜、电镜图片





公司自主研发生产一系列高效优质的有机微量元素饲料添加剂产品和有机微量元素复合包产品,专注于为中国饲料企业全面、科学、精准使用有机微量元素提供全方位的解决方案。
产品系列
矿能系列:生物活性肽螯合微量元素,优质植物源蛋白,生物降解,营养更均衡,效价更高。
矿贝系列:摩尔比为2:1,高纯螯合物,完全去除硫酸根。
维德系列:摩尔比为2:1,高纯螯合物,完全去除硫酸根。
矿宝系列:甘氨酸亚铁络合物、甘氨酸锌络合物、甘氨酸铜螯合物(摩尔比为2:1,高纯螯合物,完全去除硫酸根)。
| 产品名称 | 通用名 | 规格含量 | |
| 矿宝系列 | 矿宝铁 | 甘氨酸铁 |
甘氨酸≥23.0%,铁≥17.0%, 游离甘氨酸≤1.5%,Fe3+≤0.5 |
| 矿宝锌 | 甘氨酸锌 | 甘氨酸≥24.0%,锌≥21.0%。 | |
| 矿宝铜 | 甘氨酸铜 | 甘氨酸≥59.0%,铜≥25.0%, | |
| 矿贝系列 | 矿贝铜 | 蛋氨酸铜 | 蛋氨酸≥78.0%,铜≥17.0% |
| 矿贝锌 | 蛋氨酸锌 | 蛋氨酸≥78.0%,锌≥17.2% | |
| 矿贝锰 | 蛋氨酸锰 | 蛋氨酸≥80.0%,锰≥15.0% | |
|
维德系列 Wond |
维德锌Wond-Zn | 蛋氨酸羟基类似物铜 | 蛋氨酸羟基类似物≥78.0%,铜≥17.0% |
| 维德铜 Wond-Cu | 蛋氨酸羟基类似物锌 | 蛋氨酸羟基类似物≥78.0%,锌≥17.0% | |
| 维德锰 Wond-Mn | 蛋氨酸羟基类似物锰 | 蛋氨酸羟基类似物≥80.0%,锰≥14.8% | |
| 矿能系列 | 矿能铜 | 氨基酸铜 | 氨基酸≥24.0%,铜≥14.0% |
| 矿能锌 | 氨基酸锌 | 氨基酸≥24.0%,锌≥14% | |
| 矿能锰 | 氨基酸锰 | 氨基酸≥25.0%锰≥12.0% | |
| 其他 | N-羟甲基蛋氨酸钙 | N-羟甲基蛋氨酸钙 | 蛋氨酸≥67.6% 钙≥9.0% |
| 吡啶甲酸铬 | 吡啶甲酸铬 | 铬(III)≥0.2% |

一样的名字,不一样的品质!

以下图片供参考选用,丝瓜视频网站产品结构式、显微镜、电镜图片





